ByteTrade Lab:DEXの革新機能を詳解、dYdX、GMX、KTX、Bracketを例にして
原文タイトル:《innovations of On-Chain Perpetual Protocols Part 3》
著者:Frank Hu \& Kester Wu,ByteTrade Lab
編纂:倩雯,ChainCatcher
前言
FTX の暴雷事件の余波が続き、分散化と透明性がますます注目されています。取引活動がCeFiからDeFiに移行するのは「いつ」の問題であり、「是否」の問題ではありません。
本稿では、デリバティブDEXの革新機能に焦点を当てます。前回の内容は《GMXを例に、チェーン上の永続契約プロトコルの革新の道を詳解する。》をご覧ください。
背景
中央集権取引所の崩壊は、中央集権取引所が自己管理/チェーン上取引のリスクを軽減することを促進しました。2022年10月から2022年12月の間に、DEXとCEXの市場における支配状況からもそれが見て取れます。

出典:TheBlock,Defillama,ByteTrade
ほとんどのチェーン上取引量はUniswapなどの現物DEXで発生していますが、チェーン上デリバティブプロトコルの取引量とTVLも増加しています。


要点素覧
- デリバティブDEXが実施している革新機能には以下が含まれます:
dYdXでのクロスマージン、混合または100%ステーブルコインAMMプール、KTXでのソーシャルトレーディング。
- dYdXでのクロスマージンは、トレーダーが同じ担保を使用して複数のポジションを開くことを可能にします。
- デリバティブDEXは2種類のAMM設計を利用しています:
1)混合型(ステーブルコイン+資産)
2)100%ステーブルコイン。
- KTXは混合AMM設計を採用し、プラットフォーム上のOIの偏差を平衡させるためにソーシャルトレーディングを利用する計画です。
- 分散型オプションプロトコルはピアツーピアのモデルで運営されます。「ピアツーピア」モデルでは、流動性の管理方法は現物と似ています。流動性提供者は資産をプールに預け、トレーダーはそのプールからオプションを購入できます。
- オプションの統合はまだ限られており、デリバティブDEXとオプションプロトコル間で最も可能性のあるオプション統合は資産価格のヘッジを行うことです。
- 「必要性は発明の母」です。チェーン上では、より多くのDeFiの採用と取引が行われ、プロトコルは共同で協力する可能性が高まります。

伝統的な金融において、デリバティブは基礎資産(株式/債券/商品)から価格を得る金融資産です。
デリバティブ DEX
本稿では、DEXがユーザーに提供するいくつかの興味深い機能に焦点を当てます。
契約アドレスに預けられた資金は元々の目的のためだけに使用されます

デリバティブDEXは2022年12月に取引量の減少を経験しました。しかし、業界内での革新は楽観的な見方を保たせています。
クロスマージン
多くのDEXの中で、クロスマージン(cross margin)はdYdXがポジションを開く際に特に使用しています。逐次マージン(isolated margin)と比較して、クロスマージンはトレーダーが同じ担保を共有する複数のポジションを開くことを許可します。

クロスマージンの図解
全体のアカウントのマージン要件は、各ポジションのマージン要件の合計です。
単一ポジションのマージン計算は以下の通りです:
初期マージン要件=ABS(SxPxI)
維持マージン要件=ABS(SxPxM)。
注:Sはポジションのサイズ、Pはオラクルの価格、Iは初期マージン要件、Mは維持マージン要件です。
したがって、クロスマージンの概念があれば、アカウントのマージンを計算するのはすべてのポジションの合計を計算するだけで済みます。
総初期マージン要件=Σ(ABS(SxPxI))
総維持マージン要件=Σ(ABS(SxPxM))。
クロスマージンはより柔軟ですが、逐次マージンを好むトレーダーにとってはやや面倒です。dYdXでは、逐次マージンは独立したアカウント(新しいウォレットアドレスを使用)を作成することでのみ実現できます。
AMM
dYdXはオフチェーンのオーダーブックマッチングエンジンを運営しており、GMX、GainsNetwork、KTXのようなプロトコルはAMMを使用して注文の実行を促進しています。
デリバティブDEXは2種類のAMM設計を利用しています:
1)混合型(ステーブルコイン+資産)
2)100%ステーブルコイン。
GMXとKTXは、混合型の「50%ステーブルコイン+50%ブルーチップ資産」のマルチアセットプールを利用して取引を促進しています。KTXは現在BNBチェーンのテストネット上にあり、読者はこのプロトコルを試すことができます。

出典:KTX
一方、Gains Networkは100%のDAI金庫を利用して取引を促進しています。

Gains Networkでは、どの取引ペアでもDAI担保を使用して取引が行われます。レバレッジは合成され、DAI金庫、GNS/DAI流動性、GNSトークンによってサポートされます。DAIは金庫から引き出され、トレーダーのPNL(正の場合)を支払うか、PNLが負の取引からDAIを得るために使用されます。
以下の表には、2つの設計間のいくつかの主要な違いが示されています:

GMXとKTXは、ユーザーに最大50倍の取引資産のレバレッジを提供します。混合設計を使用することで、MMXやKTXのようなプロトコルはプール内の各資産の数量に制限されます。これら2つのAMM設計の利点と課題は以下の通りです:

ソーシャルトレーディング
GMXとKTXのLPは、基礎資産の価格変動の課題に直面しています。一部のプロトコル、例えばRage TradeやUmami Financeは、この課題に取り組んでいます。しかし、平衡OIの課題を緩和しようとするAMMデリバティブプロトコルはほとんどありません。
KTXの目標は、ソーシャルトレーディングを通じて内部のOIバランスメカニズムを構築することです。

出典:KTX

KTXソーシャルトレーディングの論理図解
この機能はまだリリースされていませんが、ソーシャルトレーディングの論理は以下のように分解できます:
総取引量、総PnL(%)、およびPnL(ドル)に基づいて、KTXの取引コンペティションからトップトレーダーを選出します。これらのトレーダーはショートとロングのトレーダーに分類されます。
トレーダーは、資産/ステーブルコインをロング/ショート金庫に預けてレシートトークンを発行することでソーシャルトレーディングに参加できます。
ソーシャルトレーディング金庫の取引規模には制限があります。
金庫レシートの発行/消却手数料は、KTXの現在のOIに基づいて調整されます。例えば、より多くの取引がロングに偏っている場合、トレーダーがロング金庫に預ける費用が高くなり、プロトコル上のOIに自然なバランスメカニズムを生み出します。
オプション

オプションは、特定の価格で関連資産を買う/売る権利を買い手に与える契約です。

コールオプションはオプションの買い手に特定の価格で資産を購入する権利を提供し、プットオプションはオプションの買い手に特定の価格で資産を売却する権利を提供します。中央集権取引所では、オプションはピアツーピアのモデルで行われます。オプションは関連資産の担保を持つ人によって販売され、その後、オプションの買い手はこのオプションを購入し、オプションの売り手にプレミアムを支払います。
分散型オプションプロトコルでは、オプションはピアツープールのモデルで行われます。ピアツープールモデルでは、流動性の管理方法は現物AMMに似ています。流動性提供者は資産をプールに預け、トレーダーはそのプールからオプションを購入できます。
以下の図は、ピアツープールモデルの簡略化された例を示しています:

オプションの売り手は、(1)基礎資産($ETH/$DPX)と(2)見積もり資産($USDC/$2CRV)の流動性を提供することで、それぞれコールオプションとプットオプションをパッシブに書き込むことができます。これらの担保資産は契約に預けられ、固定の行使価格で買い手にコールオプションを販売し、エポック(週/月)の終了時に満期を迎えます。

Dopexを例にとると、ピアツープールモデル内には異なるオプションの時間範囲(毎週/月/四半期)が存在しますが、資本効率の低下と流動性の分散という自然な課題ももたらします。
DEXオプションプロトコルの周りのブロックメカニズム
オプションの用途は非常に広範であり、あらゆる金融収益はプットオプションとコールオプションを使用することで創出できます。しかし、オプションの統合はまだ限られており、デリバティブDEXとオプションプロトコル間で最も可能性のある統合は資産価格のヘッジに使用されることです。
資産価格ヘッジ
GMXやKTXのようなプロトコルが混合のマルチアセットプールを運営しているため、LPは基礎資産の価格変動に大きく影響を受け、これらの変動はオプションでヘッジできます。
例えば、GMX/KTXで流動性を提供することで、LPは$GLP/$KLPという収益トークンを受け取ります。$GLPの機能はETFに似ており、その価格は基礎資産(主に$BTCと$ETH)に基づき、GMX上の取引活動から生じる手数料を含みます。以下の図に示すように、$GLPの価格は$ETHと$BTCの価格下落の影響を受けます。しかし、GLPプールは約50%のステーブルコインで構成されているため、$GLPの価格は36%の下落を経験し、$ETHと$BTCの価格は65%の下落を記録しました。

この場合、オプションはリスク管理に使用できます。前述のように、コール/プットオプションを購入することで、買い手は特定の価格で基礎資産を購入/販売する権利を得ます。LPは損失を減らしたいと考えているため、自然にプットオプションを購入します。
ArbitrumやBNBチェーン上のBracketプロトコルは、DeFi参加者にこのサービスを提供しています。
Bracketはピアツープールのモデルで運営されており、以下の図のように機能します:

出資者はステーブルコイン担保を預け、買い手に「見積もり」を提示します。これらの「見積もり」には、購入時の市場現物価格に基づく価外ロング/ショート契約が含まれます。
契約を購入する際には、いくつかの変数を考慮する必要があります:

ショート契約の買い手の利益状況は以下の図に示されています:

オプションを購入する際、買い手は各Bracket契約に一意に関連するERC-721 NFTを受け取ります。このNFTは契約の所有権を追跡し、契約を取引可能にすることで潜在的な二次市場を創出します。
上記のポイントはワンストップ体験としてパッケージ化されています。Bracketはウィジェットを通じて他のプロトコルと統合し、シームレスな「価格保護」を提供できます。

出典:Bracket Labs
GMXとKTXのLPは、$ETHと$BTCの相応の重みで価格保護を購入できます。

課題
Bracketが直面する可能性のある課題の一つは、オプションの自動価格設定です。オプションの価格設定は非常に複雑で、現物DEXで使用されるよりシンプルな「恒常的製品公式」と比較して、より多くの変数(満期時間、行使価格、暗黙のボラティリティ、無リスク金利)を含みます。
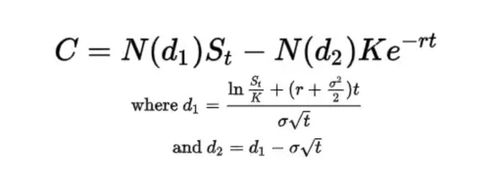
ほとんどのピアツープールオプションプロトコルは、ブラック-ショールズモデルを利用してチェーン上でオプションプレミアムを価格設定し、価格が自動的かつタイムリーに更新されることを保証します。

ブラック-ショールズモデル
この操作は面倒です。なぜなら:
1)モデルの入力値を特定するのが難しい(例えば、暗号通貨の無リスク金利は何ですか?)
2)入力は通常オフチェーンから来ており、継続的なオラクルの更新が必要です。実際の価格変動とオラクルの更新の間の遅延は、ボットが遅れたオプションの再価格設定から利益を得る可能性があります。Mango/GMXの脆弱性から見たように、オラクルはDeFiで最も頻繁に攻撃される対象の一つです。
3)一般的なブロックチェーンは、正確かつ完全にチェーン上で価格を更新するために必要なスループットを提供する可能性が低いです。従来のマーケットメーカーは、カスタムハードウェアを使用して更新します。各ポイントで価格が変動するたびに1000のオプション価格を更新します。
小結
必要性は発明の母です。
チェーン上では、より多くのDeFiの採用と取引が行われ、プロトコルは共同で協力する可能性が高まります。DEX(現物またはデリバティブ)を基盤層とし、他のプロトコルはレゴブロックのようにその上に重ねることができます。
いくつかの探求に値する潜在的なアイデアには以下が含まれます:
- カバードオプションを使用して収益を増加させる
GMXやKTXのようなプロトコルでは、LPトークンはプール内の基礎トークンおよび課金に基づいて暗黙的な価格を生成します。異なる状況において、LPトークンにカバードオプションを書き込むことで、収益と利益効率を向上させる可能性があります。
しかし、オプション価格設定の問題に直面する可能性があります。
- 担保化された債務ポジション+ステーブルコインの発行
LPトークン/シェア自体は価値があります。なぜなら、それらはプール内の一定のシェアを代表しているからです。銀行は株式/債券をローン担保として受け入れることができ、同様に貸出プロトコル(Aave、Radiant Capital)もLPシェアを担保として考慮するでしょう。
直面する可能性のある問題:
DEXの倒産。LPシェアの価格が下落すると、貸出プロトコルの清算がDEXのTVLの崩壊を引き起こす可能性があります。
LPシェアはロックされる可能性があり、ロックが発生した際には即座に清算できません。しかし、可能な解決策は半同質化トークン(ERC-3525)を使用することです。















